FES Tema 5
20 oct. 2025
5.0Tema5Difraccion
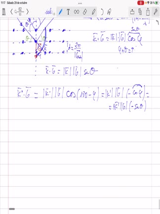
5.1CondicionesdeLaueydeBragg_1
5.1CondicionesdeLaueydeBragg_2
5.1CondicionesdeLaueydeBragg_3
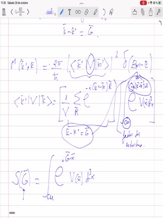
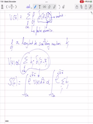
5.2AmplitudesdedifraccionFactorestructura_1
5.2AmplitudesdedifraccionFactorestructura_2
5.2AmplitudesdedifraccionFactorestructura_3
5.3ComparacionNeutronesXray
5.4Ejemplocalculofactorestructura_bcc
5.4EsferadeEwald
5.4MetodosdifraccionXray
- ← Anterior
- 1 (current)
- Siguiente →